Interne rendementsgraad(IRG)
- Gepubliceerd in Boekhouden
- Lees 2137 keer
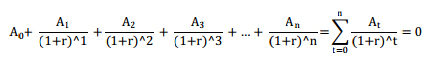
De interne rendementsgraad is een economische methode gebaseerd op de verdiscontering van kasstromen. De interne rendementsgraad is de verdisconteringsvoet waarbij de huidige waarde van de verschillende toekomstige kasontvangsten gelijk is aan de huidige waarde van de verschillende toekomstige kasuitgaven. Wanneer de interne rendementsgraad groter is dan het hierboven gedefinieerd vereist rendement, dat is het zinvol de investering te aanvaarden. De interne rendementsgraad wordt berekend met onderstaande formule:

waarbij:
- A = een kasstroom
- r = de interne rendementsgraad
- n = de looptijd van het project
investering wordt uitgevoerd wanneer die gelijk is aan gewenste minimumrendement
inschatten risico is een heikelpunt; enkele technieken ter beschikking !
-> sensitiviteitsanalyse: er wordt nagegaan hoe de analyse beïnvloed wordt indien de assumpties niet gehaald worden
-> scenarioanalyse: verschillende assumpties worden tegelijkertijd veranderd en er worden meestal drie scenarios gepresenteerd (pessimistisch, optimistisch en realistisch)
*geeft geen inzicht in de kans dat een bepaald scenario zich voordoet
-> simulatie: waarbij een model voor het investeringsproject wordt opgesteld en de relatie tussen de belangrijkste assumpties gemodelleerd worden
*moeilijk toe te passen voor radicale innovaties
Hoe de kasstromen inschatten??
reële optietechnieken:e en investeringsproject wordt opgesplitst in verschillende fasen, waarbij de eerste gezien wordt als een optie op de volgende en waarbij expliciet rekening wordt gehouden met het feit dat een project in iedere fase stopgezet kan worden
* grote complexiteit van berekening en interpretatie
